又一名医生猝然离世!多项研究表明:高压工作及环境或是“幕后主因”
- 2021-12-08 08:00:51 腾讯健康
- 健康
“我不是累了,是燃尽了。”
对于绝大多数医务人员而言,超负荷的工作压力长久以来难以避免,且日渐抬头、愈演愈烈。无休止的加班、医疗纠纷、为晋升发表论著、难于申请科研经费、患者不满意……诸如此类使得医者们在emo的同时,原本就不大结实的身板也更加脆弱。
图源:网络
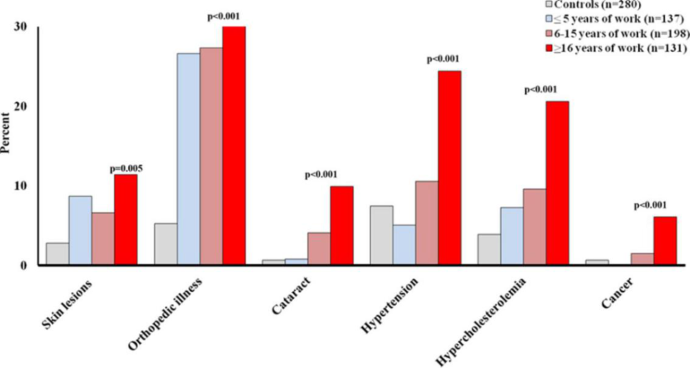
一项发表在Circulation子刊上的研究表明,医生的健康状况与其所处的工作环境可谓是“息息相关”。这项研究以工作环境最为“恶劣”的介入科医生为研究对象,发现与其他科室医生相比,介入科更易发生皮肤损害、颈背部及膝盖等病痛以及白内障。而且,在导管室呆的越久,健康状况越差!
图源:Circ Cardiovasc Interv.
首先为大家介绍一下什么是“介入科”。与传统的内科、外科及临床科室不同,介入科是进行介入治疗的科室。介入治疗是临床上常用的微创治疗方式,可以让患者在不开刀的情况下,只通过在皮肤上做直径几毫米的微小通道,或通过人体原有腔道,在影像设备的引导下,对局部病灶进行诊断和治疗。
因为工作的特殊性,介入科医生通常要暴露在影像设备的射线中,所以介入医生要穿上几十斤重的特制衣服以防射线辐射,每一台手术下来都汗流浃背,介入医生更是自嘲为“铅衣人”。
尽管如此,十几年甚至几十年的射线下工作,介入医生还是会不可避免的受到射线伤害。
这项研究共纳入746位医务工作人员,包括心脏介入医生、心电专家、护士和技术人员,共有466位长期暴露于辐射,平均在导管室的工作年限为10年。
研究发现,与其他科室的同事相比,在导管室工作的医务人员皮肤损害的患病率会增加4倍多(8.6% vs 2.0%),颈背部及膝盖等病痛增加近6倍(30.2% vs 5.4%),白内障增加近5倍(4.7% vs 0.7%),如果在导管室工作16年以上,以上各种风险会明显递增。
除此之外,“铅衣人”也更多会发生高血压(12.9% vs 7.5%)、高胆固醇血症(12.0% vs 4.0%)和甲状腺疾病(7.5% vs 3.6%),出现更多焦虑或抑郁现象(12.4% vs 2.1%)。
问卷参与者的健康状况
按职业工作年限分列的健康问题比率
其实,不仅仅是以上研究中提到的疾病。现实生活中的介入科医生遭受到的辐射甚至有可能会影响到下一代,比如生育问题和胎儿手指畸形等……
不止“铅衣人”,所有的“白衣天使”无一不在救死扶伤中遭受着“健康压力”!
医学名刊The New England Journal of Medicine曾发表了题为“To Care Is Human ― Collectively Confronting the Clinician-Burnout Crisis”的文章。作者指出:繁重的住院培训使医生无比疲惫,这严重影响了医生的生命健康。作者甚至呼吁人们应当救住院医师于水深火热之中。
图源:The New England Journal of Medicine
来自医院的高压工作还会影响到医生的寿命。近期,一项发表在神经科学顶级期刊Biological Psychiatry研究论文阐明了医生培训压力会导致端粒加速缩短,引起衰老和寿命缩短。
图源:Biological Psychiatry
端粒的长度决定着人的衰老速度和寿命。研究人员首先获取了参与者实习前唾液样本。经过一年多住院医师培训,研究人员再次采集了他们的唾液样本。令人意外的是,通过对样本中端粒长度进行测定,作者发现工作时间长的住院医师,其端粒缩短速度是正常人的6倍!这说明住院医师的衰老速度比正常人快,而且寿命也相对较短。
端粒长度随工作时间分层的实习压力变化线性模型
由上可以看出,高危的工作环境和高压的工作强度使得医生的健康状况甚至要差于常人。而在世界人口负担大国――中国,这样的情况可能更加严重……
中国医师协会对中国医生的身体健康做过调查,从发布的《中国医师执业状况白皮书》来看,被称为“健康守护者”的医师群体健康现状令人担忧。
医师常患有因过劳导致的各种疾病,如由长期饮食不规律导致的肠胃炎;长时间伏案或手术工作导致肩颈炎、腰肌劳损、腰间盘突出,或因精神压力导致的偏头痛等疾病。
在被调查医生中,39%的医生患有疾病,其中,33.2%的医生表示罹患一种疾病, 5.9%的医生罹患一种以上的疾病……这些数据可谓触目惊心,反映出当下中国医生的身体健康正在遭受严重损害。
39%的医生患有不同的疾病
33.2%的医生有一种疾病,5.9%的医生有两种及以上的疾病
就在11月26日,连续14天坚守在抗疫一线,日夜奋战的大连医科大学附属第三医院副院长沙琳医生因过度劳累,导致心源性猝死,倒在了工作岗位上,生命就此永远定格在了47岁。
47岁,对于一位医生而言正值黄金年华。沙琳医生本应继续在医学事业上大展宏图,在岗位发光发热,却因过度劳累失去了生命。
而就在同一天,大连的36名新冠肺炎患者出院,来到大连康复中心――大连医科大学附属第三医院,进行14天的隔离医学观察和康复治疗,即将回归正常生活。
不知何时起,本该悬壶济世的医者,竟成了“最不健康”的人。医者,难自医也。希望不论是国家、社会还是医院单位都能将基层医生们的保障落实到实处,也希望各位“白衣天使”在救死扶伤的同时更加善待自身,毕竟,“身体是革命的本钱”。
参考资料:
[1] Occupational Health Risks in Cardiac Catheterization Laboratory Workers. Circ Cardiovasc Interv. 2016 Apr;9(4):e003273. DOI: 10.1161/CIRCINTERVENTIONS.115.003273.
[2] To Care Is Human - Collectively Confronting the Clinician-Burnout Crisis. N Engl J Med. 2018 Jan 25;378(4):312-314. DOI: 10.1056/NEJMp1715127.
[3] Physician-Training Stress and Accelerated Cellular Aging. Biol Psychiatry. 2019 Nov 1;86(9):725-730. DOI: 10.1016/j.biopsych.2019.04.030.
撰文 | 乐一
编辑 | Swagpp
本文地址:http://www.bx9y.com/jiankang/2021-12-08/560648.html
友情提示:文章内容为作者个人观点,不代表本站立场且不构成任何建议,本站拥有对此声明的最终解释权。如果读者发现稿件侵权、失实、错误等问题,可联系我们处理
- 杭州再增一例无症状感染者 系已公布无症状感染者密接2021-12-08 08:00:52
- “小口罩”关系大民生,这些群众急难愁盼问题有何新变化?2021-12-08 08:00:52
- 中西结合治骨病 挺立豫南保健康 驻马店正骨医院宣传片正式发布2021-12-08 08:00:52
- 120万一针的“天价药”为何没有进医保,谈判不是价越低越好!2021-12-08 08:00:51
- 世卫组织命名前 美国已有奥密克戎病例2021-12-08 08:00:51
-
什么是阴痛?
2021-10-26
-
美立方国内外专家齐聚 颌面专家团再升级
2021-08-23
-
《热点聚焦》医疗机构内新冠病毒感染防控有了新要求
2021-09-15 20:00:10
-
浙大一院2021年中秋节、国庆节放假及工作安排
2021-09-12 14:00:03
-
什么是阴结?
2021-10-26 10:33:42
-
名医风采 美立方颌面国际专家团,轮廓改造天团
2021-08-23 11:48:32
-
12333异地就医备案 您关心的都在这里
2021-09-07 10:40:49
